Quick filter
Clear AllFood Testing
Environmental Monitoring
Clinical mass spectrometry detection
1 Cosmetics testing
Pesticide
Veterinary Drug
Medicine
Traditional Chinese Medicine and Natural Products
Chemical Industry
Other

Stearoyl-L-carnitine-d3 chloride
Product No.:1ST159091AD3
CAS No.:2245711-27-5

Decanoyl-L-carnitine-d3 chloride (N-methyl-d3)
Product No.:1ST179294D3
CAS No.:2483831-87-2

Stearoyl-L-carnitine-d3
Product No.:1ST159091D3
CAS No.:1814920-07-4

Stearoyl-L-carnitine
Product No.:1ST159091
CAS No.:25597-09-5

Oleoyl-L-carnitine
Product No.:1ST159090
CAS No.:38677-66-6

trans-2-Tetradecenoyl-L-carnitine
Product No.:1ST14927
CAS No.:1256380-19-4

Decanoyl-L-carnitine
Product No.:1ST159488
CAS No.:3992-45-8

3-Hydroxyoctadecenoylcarnitine
Product No.:1ST162808
CAS No.:851132-91-7

Linoleoyl-L-carnitine
Product No.:1ST162806
CAS No.:36816-10-1

Stearoyl-L-carnitine chloride
Product No.:1ST168757
CAS No.:32350-57-5

Palmitoyl-L-carnitine chloride
Product No.:1ST164532
CAS No.:18877-64-0

Decanoyl-L-carnitine chloride
Product No.:1ST163234
CAS No.:369651-88-7

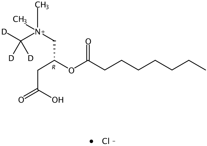
Octanoyl-L-carnitine-d3 chloride
Product No.:1ST158373D3
CAS No.:1334532-24-9

Acetylcholine-d9 chloride
Product No.:1ST000443
CAS No.:344298-95-9

Betaine-d3 hydrochloride
Product No.:1ST000154
CAS No.:1219349-47-9
2850791070 | 2850791074 | 2850791072 (技术支持QQ)
天津经济技术开发区第四大街80号天大科技园C7楼
阿尔塔公众号
阿尔塔视频号
技术研讨群
Copyright@2026 Tianjin ALTA Technology Co., Ltd All rights reserved